Blog
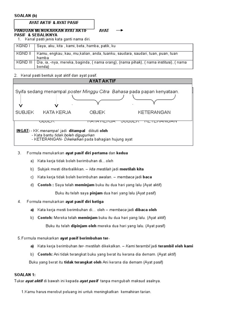
Contoh Formula Ayat Aktif Dan Ayat Pasif
cabaran memartabatkan bahasa melayu
borang akta rahsia rasmi 1972 lampiran di word
buang yang keruh ambil yang jernih in chinese
buang sampah ke dalam tong sampah in english
bulat air kerana pembetung bulat manusia kerana muafakat in chinese
buang yang keruh ambil yang jernih contoh ayat
bulat air kerana pembetung bulat manusia kerana muafakat meaning
buang yang keruh ambil yang jernih 意思
Formula Untuk Tukar Ayat Aktif Kepada Ayat Pasif A 3214 B 3124 Ayat Aktif Ayat Pasif Cikgugoh
Laman Blog Cikgu Tan Cl Cara Menukarkan Ayat Aktif Kepada Ayat Pasif Cara Image Google Images
Copy Of Bahasa Melayu Ayat Aktif Dan Ayat Pasif Lessons Tes Teach
Ayat Aktif Dan Ayat Pasif Pt3
Ayat Pasif Dan Aktif
Harteini Mohamad Harteinim On Pinterest
Laman Blog Cikgu Tan Cl Cara Menukarkan Ayat Aktif Kepada Ayat Pasif
Cara Menukar Ayat Aktif Kepada Ayat Pasif Youtube
Ayat Pasif Dan Aktif
Copy Of Bahasa Melayu Ayat Aktif Dan Ayat Pasif Lessons Tes Teach
Ayat Aktif Kepada Ayat Pasif Sebaliknya
Ayat Pasif Dan Aktif Cute766
Ayat Pasif Dan Aktif
Copy Of Bahasa Melayu Ayat Aktif Dan Ayat Pasif Lessons Tes Teach
Laman Blog Cikgu Tan Cl Ayat Aktif Kepada Ayat Pasif
Ayat Aktif Dan Ayat Pasif Spm
Contoh Ayat Aktif Kepada Ayat Pasif
Ayat Pasif Dan Aktif
Kelas Bahasa Melayu Tahun 8 12 Penting Teknik Menukarkan Ayat Aktif Dan Ayat Pasif
Ayat Aktif Kepada Ayat Pasif
Source :
pinterest.com
Random Posts
Huruf Vokal Dan Konsonan Mandarin
Isteri Minta Cerai Kerana Tiada Persefahaman
Information About Renewable Energy In Malaysia
Huruf Tulisan Rumi Ke Jawi Translation
Ikan Toman Besar Makan Orang
Ikan Pulang Ke Lubuk Maksud
Imbuhan Apitan Kata Kerja Memper Dan Sisipan
Jadual Air Pasang Surut Sabah 2019
Hitam Putih Mewarnai Gambar Gedung Sekolah Paud
Imbuhan Awalan Dan Akhiran Tahun 3
Hutan Daun Luruh Sederhana In English
Ibarat Telur Sesangkak Pecah Sebiji Pecah Semua Sinonim
Jadual Air Pasang Surut Lumut Perak
Ikan Pulang Ke Lubuk Sinonim
Indah Khabar Daripada Rupa
Imbuhan Awalan Dan Akhiran Tahun 4
Huruf Vokal Dan Konsonan Bahasa Indonesia
Hitam Putih Gambar Bakul Nasi Untuk Diwarnai
Hujan Emas Dinegeri Orang Peribahasa In English
Invoice Dalam Bahasa Melayu