Blog
Contoh Karangan Berita Kemalangan Jalan Raya Tingkatan 1
sinopsis patah sayap bertongkat paruh
soalan organ pernafasan haiwan tahun 4
sikit sikit lama lama jadi bukit
sistem pengukuran metrik si
sistem tuas kelas ketiga
sinopsis drama tenang tenang air di tasik
sistem ejaan bahasa melayu kuno
skipping rope in malay
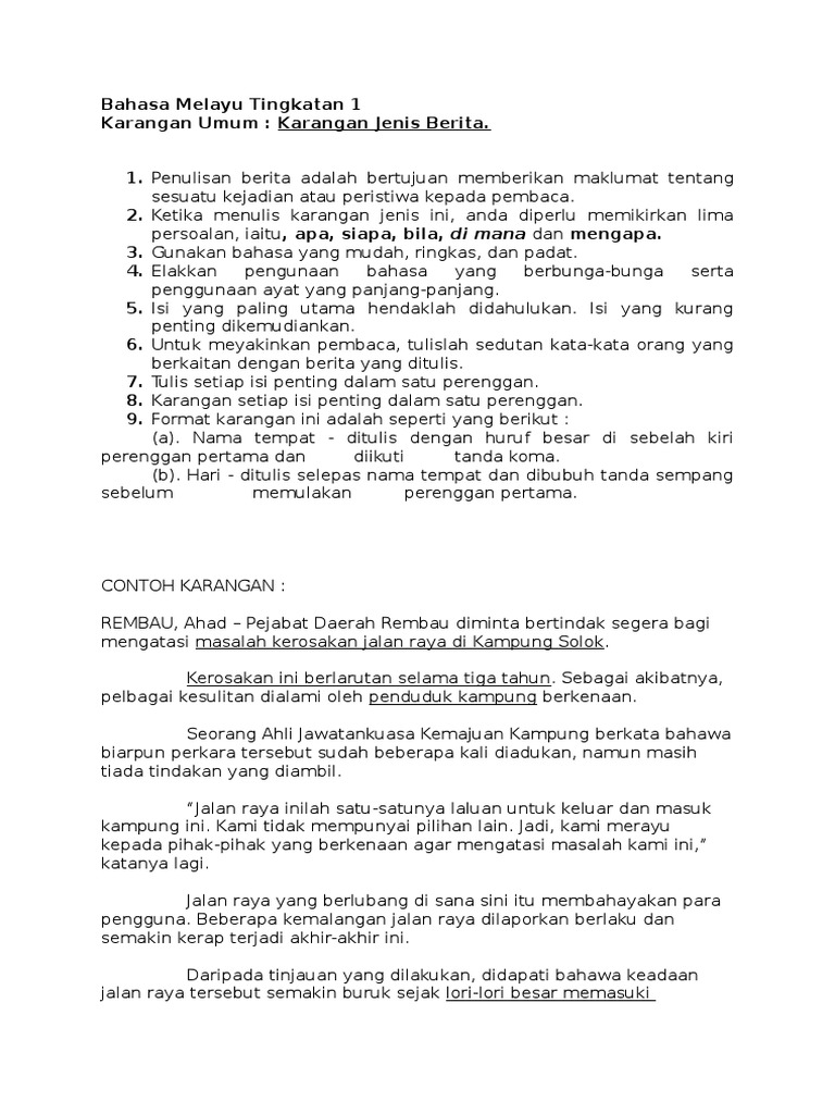
Karangan Berita
Karangan Berita
Contoh Karangan
Contoh Karangan Jenis Berita
Kemalangan Jalan Raya
Karangan Kemalangan Jalan Raya
Contoh Karangan
Contoh Karangan
Contoh Karangan
Karangan Jenis Berita
Karangan Contoh 20112011
Contoh Karangan
Contoh Karangan
Karangan Berita Tentang Kemalangan Jalan Raya
Contoh Karangan Berita Kemalangan Jalan Raya Tingkatan 1
Karangan Berita
Karangan Kemalangan Jalan Raya Tahun 6
Langkah Langkah Menanganinya Kemalangan
Karangan Berita Tentang Kemalangan Jalan Raya
Pelajar Maut Motosikal Bertembung
Source :
pinterest.com
Random Posts
Bak Cendawan Tumbuh Selepas Hujan Maksud
Bahasa Melayu Suku Kata Kvkv
Baju Sikap Berleher Cekak Musang
Banyak Udang Banyak Garam Banyak Orang Banyak Ragam
Bahasa Melayu Sebagai Bahasa Rasmi
Bahasa Tulisan Rumi Ke Jawi
Bahasa Melayu To English
Belajar Bahasa Inggeris Ke Bahasa Melayu
Banner Majlis Anugerah Perkhidmatan Cemerlang
Bahasa Melayu Sebagai Bahasa Rasmi Negara
Belajar Alif Ba Ta Rumi
Belajar Kata Kata Hikmah Untuk Pelajar
Bahasa Melayu Sebagai Lingua Franca Pdf
Bayu Laut Dan Bayu Darat Fizik Tingkatan 4
Belum Duduk Sudah Berlunjur Ayat
Bapa Borek Anak Rintik Ayat
Batu Bersurat Di Kota Kapur Pulau Bangka
Belut Pulang Ke Lumpur Maksud
Benda Bentuk Segi Empat Tepat
Batas Daratan Utara Selatan Barat Dan Timur